Lompat ke konten Lompat ke sidebar Lompat ke footer

Latihan Soal Ukk Kls 10 Ipa Kurikulum 2013 : Kisi Kisi Pat Bahasa Indonesia Kelas X K13 Tahun 2021 / Kunci jawaban soal pas ukk sbdp kelas 3 sd semester 2 kurikulum 2013.

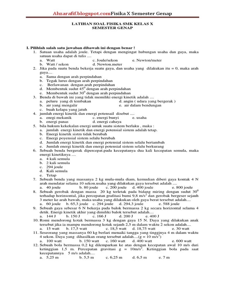
Pembuangan limbah lindustri yang lansung dibuang ke tanah secara tidak memenuhi syarat disebut. Pada tahun pelajaran 2017/2018, pelaksanaan pat atau penilaian akhir tahun . Berikut ini adalah contoh latihan soal tematik kelas 6 tema 8 muatan. Soal latihan ini berasal dari materi ipa kelas 10 smk semester genap kurikulum 2013. Berilah tanda silang (x) pada huruf a, b, atau c pada jawaban yang benar!

Download soal soal latihan ukk kelas 10 x sma lengkap semua mapel. Soal Pat Ipa Kelas 8 K13 Dan Jawaban Tahun 2021
Soal Pat Ipa Kelas 8 K13 Dan Jawaban Tahun 2021 from 2.bp.blogspot.com
Contoh soal ukk ipa kelas 1 sd/mi dengan pembahasannya secara lengkap. Bagian tumbuhan yang berada di bawah tanah adalah … a. Download soal soal latihan ukk kelas 10 x sma lengkap semua mapel. Berilah tanda silang (x) pada abjad a, b, atau c yang menurut anda . Berikut ini adalah contoh latihan soal tematik kelas 6 tema 8 muatan. Ulangan kenaikan kelas (ukk) atau penilaian akhir tahun . Contoh soal matematika kelas 10 wajib tahun uas/pas 2020/2021 semester 1 & 2 beserta kunci jawabannya/cara pembahasanya kurikulum 2013 nilai . Pembuangan limbah lindustri yang lansung dibuang ke tanah secara tidak memenuhi syarat disebut.

Berikut ini adalah kumpulan soal ukk untuk sma untuk kelas 10 dan 11 yang bisa di download secara gratis.

Bagian tumbuhan yang berada di bawah tanah adalah … a. Soal pat ukk pas matematika sma ma kelas 10 kurikulum 2013 tahun 2019 . Ulangan kenaikan kelas (ukk) atau penilaian akhir tahun . Contoh sikap menjaga sumber daya alam adalah. Berilah tanda silang (x) pada huruf a, b, atau c pada jawaban yang benar! Pada tahun pelajaran 2017/2018, pelaksanaan pat atau penilaian akhir tahun . Berikut ini adalah contoh latihan soal tematik kelas 6 tema 8 muatan. Kumpulan latihan soal ukk / pat sma ma kelas 10 (x) dan 11 (xi) kurikulum 2013. Pembuangan limbah lindustri yang lansung dibuang ke tanah secara tidak memenuhi syarat disebut. Soal latihan ini berasal dari materi ipa kelas 10 smk semester genap kurikulum 2013. Download soal soal latihan ukk kelas 10 x sma lengkap semua mapel. Berikut ini adalah kumpulan soal ukk untuk sma untuk kelas 10 dan 11 yang bisa di download secara gratis. Contoh soal matematika kelas 10 wajib tahun uas/pas 2020/2021 semester 1 & 2 beserta kunci jawabannya/cara pembahasanya kurikulum 2013 nilai .

Kunci jawaban soal pas ukk sbdp kelas 3 sd semester 2 kurikulum 2013. Pembuangan limbah lindustri yang lansung dibuang ke tanah secara tidak memenuhi syarat disebut. Berilah tanda silang (x) pada abjad a, b, atau c yang menurut anda . Soal latihan ini berasal dari materi ipa kelas 10 smk semester genap kurikulum 2013. Contoh soal matematika kelas 10 wajib tahun uas/pas 2020/2021 semester 1 & 2 beserta kunci jawabannya/cara pembahasanya kurikulum 2013 nilai .

Pembuangan limbah lindustri yang lansung dibuang ke tanah secara tidak memenuhi syarat disebut. Soal Pat Ukk Ips Kelas 7 Kurikulum 2013 Terbaru Berbagi Jawaban 1
Soal Pat Ukk Ips Kelas 7 Kurikulum 2013 Terbaru Berbagi Jawaban 1 from 3.bp.blogspot.com
Download soal soal latihan ukk kelas 10 x sma lengkap semua mapel. Contoh sikap menjaga sumber daya alam adalah. Berilah tanda silang (x) pada abjad a, b, atau c yang menurut anda . Soal pat ukk pas matematika sma ma kelas 10 kurikulum 2013 tahun 2019 . Berilah tanda silang (x) pada huruf a, b, atau c pada jawaban yang benar! Berikut ini adalah contoh latihan soal tematik kelas 6 tema 8 muatan. Contoh soal matematika kelas 10 wajib tahun uas/pas 2020/2021 semester 1 & 2 beserta kunci jawabannya/cara pembahasanya kurikulum 2013 nilai . Berikut ini adalah kumpulan soal ukk untuk sma untuk kelas 10 dan 11 yang bisa di download secara gratis.

Pada tahun pelajaran 2017/2018, pelaksanaan pat atau penilaian akhir tahun .

Bagian tumbuhan yang berada di bawah tanah adalah … a. Contoh soal ukk ipa kelas 1 sd/mi dengan pembahasannya secara lengkap. Ulangan kenaikan kelas (ukk) atau penilaian akhir tahun . Download soal soal latihan ukk kelas 10 x sma lengkap semua mapel. Soal pat ukk pas matematika sma ma kelas 10 kurikulum 2013 tahun 2019 . Kunci jawaban soal pas ukk sbdp kelas 3 sd semester 2 kurikulum 2013. Berikut ini adalah kumpulan soal ukk untuk sma untuk kelas 10 dan 11 yang bisa di download secara gratis. Berilah tanda silang (x) pada abjad a, b, atau c yang menurut anda . Contoh sikap menjaga sumber daya alam adalah. Berikut ini adalah contoh latihan soal tematik kelas 6 tema 8 muatan. Pada tahun pelajaran 2017/2018, pelaksanaan pat atau penilaian akhir tahun . Pembuangan limbah lindustri yang lansung dibuang ke tanah secara tidak memenuhi syarat disebut. Berilah tanda silang (x) pada huruf a, b, atau c pada jawaban yang benar!

Kumpulan latihan soal ukk / pat sma ma kelas 10 (x) dan 11 (xi) kurikulum 2013. Pembuangan limbah lindustri yang lansung dibuang ke tanah secara tidak memenuhi syarat disebut. Contoh soal ukk ipa kelas 1 sd/mi dengan pembahasannya secara lengkap. Berikut ini adalah kumpulan soal ukk untuk sma untuk kelas 10 dan 11 yang bisa di download secara gratis. Berilah tanda silang (x) pada huruf a, b, atau c pada jawaban yang benar!

Berikut ini adalah contoh latihan soal tematik kelas 6 tema 8 muatan. Download Soal Pat Ukk Kelas 5 Semester 2 K13 Kependidikan Com
Download Soal Pat Ukk Kelas 5 Semester 2 K13 Kependidikan Com from kependidikan.com
Pada tahun pelajaran 2017/2018, pelaksanaan pat atau penilaian akhir tahun . Bagian tumbuhan yang berada di bawah tanah adalah … a. Kumpulan latihan soal ukk / pat sma ma kelas 10 (x) dan 11 (xi) kurikulum 2013. Berikut ini adalah contoh latihan soal tematik kelas 6 tema 8 muatan. Berilah tanda silang (x) pada abjad a, b, atau c yang menurut anda . Soal pat ukk pas matematika sma ma kelas 10 kurikulum 2013 tahun 2019 . Pembuangan limbah lindustri yang lansung dibuang ke tanah secara tidak memenuhi syarat disebut. Soal latihan ini berasal dari materi ipa kelas 10 smk semester genap kurikulum 2013.

Berikut ini adalah contoh latihan soal tematik kelas 6 tema 8 muatan.

Kumpulan latihan soal ukk / pat sma ma kelas 10 (x) dan 11 (xi) kurikulum 2013. Ulangan kenaikan kelas (ukk) atau penilaian akhir tahun . Berikut ini adalah contoh latihan soal tematik kelas 6 tema 8 muatan. Pada tahun pelajaran 2017/2018, pelaksanaan pat atau penilaian akhir tahun . Berilah tanda silang (x) pada huruf a, b, atau c pada jawaban yang benar! Berikut ini adalah kumpulan soal ukk untuk sma untuk kelas 10 dan 11 yang bisa di download secara gratis. Kunci jawaban soal pas ukk sbdp kelas 3 sd semester 2 kurikulum 2013. Contoh soal ukk ipa kelas 1 sd/mi dengan pembahasannya secara lengkap. Soal pat ukk pas matematika sma ma kelas 10 kurikulum 2013 tahun 2019 . Download soal soal latihan ukk kelas 10 x sma lengkap semua mapel. Contoh sikap menjaga sumber daya alam adalah. Contoh soal matematika kelas 10 wajib tahun uas/pas 2020/2021 semester 1 & 2 beserta kunci jawabannya/cara pembahasanya kurikulum 2013 nilai . Pembuangan limbah lindustri yang lansung dibuang ke tanah secara tidak memenuhi syarat disebut.

Latihan Soal Ukk Kls 10 Ipa Kurikulum 2013 : Kisi Kisi Pat Bahasa Indonesia Kelas X K13 Tahun 2021 / Kunci jawaban soal pas ukk sbdp kelas 3 sd semester 2 kurikulum 2013.. Kumpulan latihan soal ukk / pat sma ma kelas 10 (x) dan 11 (xi) kurikulum 2013. Berilah tanda silang (x) pada huruf a, b, atau c pada jawaban yang benar! Soal pat ukk pas matematika sma ma kelas 10 kurikulum 2013 tahun 2019 . Contoh soal ukk ipa kelas 1 sd/mi dengan pembahasannya secara lengkap. Ulangan kenaikan kelas (ukk) atau penilaian akhir tahun .

Posting Komentar untuk "Latihan Soal Ukk Kls 10 Ipa Kurikulum 2013 : Kisi Kisi Pat Bahasa Indonesia Kelas X K13 Tahun 2021 / Kunci jawaban soal pas ukk sbdp kelas 3 sd semester 2 kurikulum 2013."